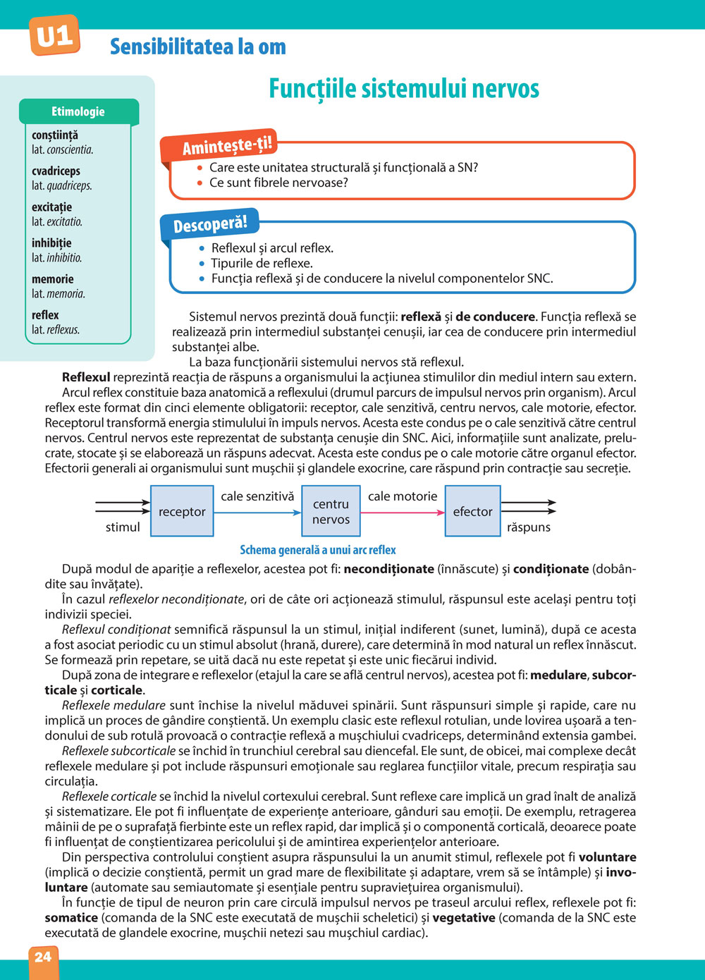
Bine ai venit!
Varianta digitală a manualului tău cuprinde integral textul din varianta print, dar conține în plus o serie de activități multimedia care vor face învățarea mai plăcută și mai ușoară.
SPECIFICAȚII TEHNICE
Poți folosi varianta digitală a manualului atât pe calculator/laptop, cât și pe tabletă sau pe orice telefon inteligent, cu mențiunea că pentru o utilizare optimă ai nevoie de un echipament care respectă specificațiile tehnice de mai jos.
Astfel, ar trebui să ai unul dintre sistemele de operare: Windows Vista+, Android 4.03+, Linux (Ubuntu 14.04, Linux Mint 16, Debian GNU/Linux 7.0, OpenSUSE 13.1), OS X 10.9+, iOS 7.1.X+ sau echivalent.
Browserul folosit poate fi:
- Google Chrome 31+ (Windows Vista+, Android 4.03+, Linux, OS X 10.9+, iOS 7.1.X+)
- Mozilla Firefox 25+ (Windows Vista+, Android 4.03+, Linux, OS X 10.9+)
- Internet Explorer 10+ (Windows 7+)
- Safari 7+ (OS X 10.9+, iOS 7.1.X+)
PC-ul/tableta sau telefonul tău inteligent ar trebui să aibă un procesor de minim 800 MHz, 512 MB RAM și 1 GB spaţiu disponibil de stocare.
MENIUL DE NAVIGARE
Pentru a răsfoi varianta digitală a manualului tău, te poți folosi de butoanele de pe bara de navigare, afișată în partea de jos a ecranului.
te duce la prima pagină a manualului;
te duce la pagina imediat anterioară;
te duce la pagina următoare;
te duce la ultima pagină a manualului;
afișează cuprinsul manualului și îți permite accesarea oricărei lecții printr-un salt direct;
mărește pagina, pentru o mai bună observare a imaginilor/textului;
micșorează pagina;

îți oferă mai multe informații despre varianta digitală a manualului.
afișează întregul conținut al meniului de navigare (butonul este afișat doar în cazul telefoanelor inteligente)
ACTIVITĂȚILE MULTIMEDIA
Activitățile multimedia sunt semnalizate în varianta digitală prin trei tipuri de iconuri.

- pentru activitate statică, de observare a unei imagini semnificative.
Activarea acestui buton permite vizualizarea optimizată a secvenței din manual.

- pentru activitate animată (material video sau audio).
Activarea acestui buton va permite vizualizarea unui material video sau audio, pentru care poți controla începerea/pauzarea (prin butonul de Start/Pauză), volumul și maximizarea ecranului.

- pentru activitate interactivă.
Activarea acestui buton îți permite vizualizarea unor secvențe educaționale cu grad înalt de interactivitate, la finalul cărora primești un feedback imediat. Exercițiile marcate cu acest icon pot fi de tipul trage și plasează, bifarea variantei corecte, asocierea unor termeni din mai multe coloane etc. La finalul rezolvării, vei afla dacă ai răspuns corect prin activarea butonului Verifică, iar dacă ai răspuns greșit, poți relua exercițiul prin activarea butonului Anulează.
Toate activitățile multimedia au câte un buton X care permite revenirea la pagina curentă a manualului.